Cổng thông tin Tuyển sinh
Tra cứu ngành đào tạo
liên hệ
img
  • Giới Thiệu Chung
    • Giới thiệu chung
    • Ba công khai
    • Ban Giám hiệu
    • Cơ cấu tổ chức
    • Hội đồng trường
    • Chiến lược phát triển
    • Ban chấp hành Đảng bộ
    • Báo chí nói về Đông Đô
    • Sơ lược về Trường Đại học Đông Đô
    • Sứ mạng - Tầm nhìn - Giá trị cốt lõi - Triết lý giáo dục
    • Các đơn vị chức năng
    • Phòng Đào tạo
    • Phòng Pháp chế
    • Phòng Kế hoạch - Tài chính
    • Phòng Tổ chức - Hành chính
    • Phòng Khảo thí & Quản lý chất lượng
    • Trung tâm Truyền thông và Tuyển sinh
    • Phòng Công tác sinh viên và Hỗ trợ khởi nghiệp
    • Phòng Khoa học công nghệ và hợp tác phát triển
    • Khoa/Viện đào tạo, nghiên cứu
    • Khoa Luật
    • Khoa Thú Y
    • Khoa Cơ bản
    • Khoa Ngoại Ngữ
    • Khoa Điều Dưỡng
    • Khoa Kinh tế và Quản lý
    • Khoa Dược - Xét nghiệm
    • Khoa Kỹ thuật - Công nghệ
    • Khoa Công Nghệ Thông Tin
    • Các tổ chức chính trị - xã hội
    • Công đoàn trường
    • Hội Cựu chiến binh
    • Đoàn thanh niên - Hội sinh viên
  • Tuyển Sinh
    • Tuyển sinh đại học
    • Thông tin tuyển sinh 2026
    • Thông báo tuyển sinh chính quy
    • Thông báo tuyển sinh Từ xa
    • Thông báo tuyển sinh Liên thông
    • Thông báo tuyển sinh Vừa làm - Vừa học
    • Tuyển sinh sau đại học
    • Ngành tuyển sinh
    • Thông tin tuyển sinh Sau đại học
    • Cổng thông tin tuyển sinh
  • Đào Tạo
    • Đào tạo chính quy
    • Ngành Quản Trị Kinh Doanh
    • Ngành Thương Mại Điện Tử
    • Ngành Tài Chính Ngân Hàng
    • Ngành Kế Toán
    • Ngành Công Nghệ Thông Tin
    • Ngành Công Nghệ Kỹ Thuật Ô Tô
    • Ngành Ngôn Ngữ Trung Quốc
    • Ngành Ngôn Ngữ Nhật
    • Ngành Ngôn ngữ Hàn Quốc
    • Ngành Dược Học
    • Ngành Điều Dưỡng
    • Ngành Kỹ Thuật Xét Nghiệm Y học
    • Ngành Thú Y
    • Ngành Luật Kinh Tế
    • Ngành Quản Lý Nhà Nước
    • Hệ đào tạo khác
    • Đào tạo từ xa
    • Đào tạo liên thông
    • Hệ vừa làm vừa học
    • Đào tạo Thạc sĩ
    • Ngành Kiến Trúc
    • Ngành Quản Lý Công
    • Ngành Quản Lý Kinh Tế
    • Ngành Quản Trị Kinh Doanh
    • Ngành Tài Chính Ngân Hàng
    • Đào tạo Tiến sĩ
    • Ngành Quản Trị Kinh Doanh
  • Sinh Viên
    • Trải nghiệm là DDUER
    • Học bổng
    • Sổ tay sinh viên
    • DDUER Tiêu biểu
    • Dịch vụ Sinh viên
    • Thư viện
    • Ký túc xá
    • Chăm sóc sức khỏe Sinh viên
    • Hướng nghiệp
    • Hỗ trợ thực tập
    • Cổng thông tin việc làm
    • Các hoạt động hướng nghiệp
    • Câu lạc bộ sinh viên
    • Hoạt động sinh viên
    • Câu lạc bộ học thuật
    • CLB Năng khiếu, thể thao, nghệ thuật
    • Mẫu văn bản
  • Khoa Học Công Nghệ
    • Hội đồng khoa học
    • Khoa học - Công nghệ
    • Tạp chí khoa học, công nghệ và phát triển
    • Viện Khoa học xã hội và Đổi mới sáng tạo
    • Hoạt động nghiên cứu khoa học
  • Hợp Tác Phát Triển
    • Giới Thiệu Chung
    • Chương trình hợp tác
    • Mạng lưới đối tác
  • Hoạt Động Xã Hội
    • Hoạt động xã hội
    • Chương trình thiện nguyện
  • Giới Thiệu Chung
    • Giới thiệu chung
    • Ba công khai
    • Ban Giám hiệu
    • Cơ cấu tổ chức
    • Hội đồng trường
    • Chiến lược phát triển
    • Ban chấp hành Đảng bộ
    • Báo chí nói về Đông Đô
    • Sơ lược về Trường Đại học Đông Đô
    • Sứ mạng - Tầm nhìn - Giá trị cốt lõi - Triết lý giáo dục
    • Các đơn vị chức năng
    • Phòng Đào tạo
    • Phòng Pháp chế
    • Phòng Kế hoạch - Tài chính
    • Phòng Tổ chức - Hành chính
    • Phòng Khảo thí & Quản lý chất lượng
    • Trung tâm Truyền thông và Tuyển sinh
    • Phòng Công tác sinh viên và Hỗ trợ khởi nghiệp
    • Phòng Khoa học công nghệ và hợp tác phát triển
    • Khoa/Viện đào tạo, nghiên cứu
    • Khoa Luật
    • Khoa Thú Y
    • Chương trình đào tạo
    • Tin tức hoạt động
    • Giới thiệu
    • Khoa Cơ bản
    • Chương trình đào tạo
    • Tin tức hoạt động
    • Giới thiệu
    • Khoa Ngoại Ngữ
    • Ngôn ngữ Trung Quốc
    • Ngôn ngữ Nhật
    • Chương trình đào tạo
    • Tin tức hoạt động
    • Giới thiệu
    • Khoa Điều Dưỡng
    • Chương trình đào tạo
    • Tin tức hoạt động
    • Giới thiệu
    • Khoa Kinh tế và Quản lý
    • Chương trình đào tạo
    • Tin tức hoạt động
    • Khoa Dược - Xét nghiệm
    • Chương trình đào tạo
    • Tin tức hoạt động
    • Giới thiệu
    • Khoa Kỹ thuật - Công nghệ
    • Khoa Công Nghệ Thông Tin
    • Các tổ chức chính trị - xã hội
    • Công đoàn trường
    • Hội Cựu chiến binh
    • Đoàn thanh niên - Hội sinh viên
  • Tuyển Sinh
    • Tuyển sinh đại học
    • Thông tin tuyển sinh 2026
    • Thông báo tuyển sinh chính quy
    • Thông báo tuyển sinh Từ xa
    • Thông báo tuyển sinh Liên thông
    • Thông báo tuyển sinh Vừa làm - Vừa học
    • Tuyển sinh sau đại học
    • Ngành tuyển sinh
    • Thông tin tuyển sinh Sau đại học
    • Cổng thông tin tuyển sinh
  • Đào Tạo
    • Đào tạo chính quy
    • Ngành Quản Trị Kinh Doanh
    • Ngành Thương Mại Điện Tử
    • Ngành Tài Chính Ngân Hàng
    • Ngành Kế Toán
    • Ngành Công Nghệ Thông Tin
    • Ngành Công Nghệ Kỹ Thuật Ô Tô
    • Ngành Ngôn Ngữ Trung Quốc
    • Ngành Ngôn Ngữ Nhật
    • Ngành Ngôn ngữ Hàn Quốc
    • Ngành Dược Học
    • Ngành Điều Dưỡng
    • Ngành Kỹ Thuật Xét Nghiệm Y học
    • Ngành Thú Y
    • Ngành Luật Kinh Tế
    • Ngành Quản Lý Nhà Nước
    • Hệ đào tạo khác
    • Đào tạo từ xa
    • Đào tạo liên thông
    • Hệ vừa làm vừa học
    • Đào tạo Thạc sĩ
    • Ngành Kiến Trúc
    • Ngành Quản Lý Công
    • Ngành Quản Lý Kinh Tế
    • Ngành Quản Trị Kinh Doanh
    • Ngành Tài Chính Ngân Hàng
    • Đào tạo Tiến sĩ
    • Ngành Quản Trị Kinh Doanh
  • Sinh Viên
    • Trải nghiệm là DDUER
    • Học bổng
    • Sổ tay sinh viên
    • DDUER Tiêu biểu
    • Dịch vụ Sinh viên
    • Thư viện
    • Ký túc xá
    • Chăm sóc sức khỏe Sinh viên
    • Hướng nghiệp
    • Hỗ trợ thực tập
    • Cổng thông tin việc làm
    • Thông tin Tuyển dụng
    • Các hoạt động hướng nghiệp
    • Câu lạc bộ sinh viên
    • Hoạt động sinh viên
    • Câu lạc bộ học thuật
    • CLB Năng khiếu, thể thao, nghệ thuật
    • Mẫu văn bản
  • Khoa Học Công Nghệ
    • Hội đồng khoa học
    • Khoa học - Công nghệ
    • Tạp chí khoa học, công nghệ và phát triển
    • Viện Khoa học xã hội và Đổi mới sáng tạo
    • Hoạt động nghiên cứu khoa học
  • Hợp Tác Phát Triển
    • Giới Thiệu Chung
    • Chương trình hợp tác
    • Mạng lưới đối tác
  • Hoạt Động Xã Hội
    • Hoạt động xã hội
    • Chương trình thiện nguyện


thumb
  • Ban Truyền thông
  • 0 Bình luận
Chia sẻ

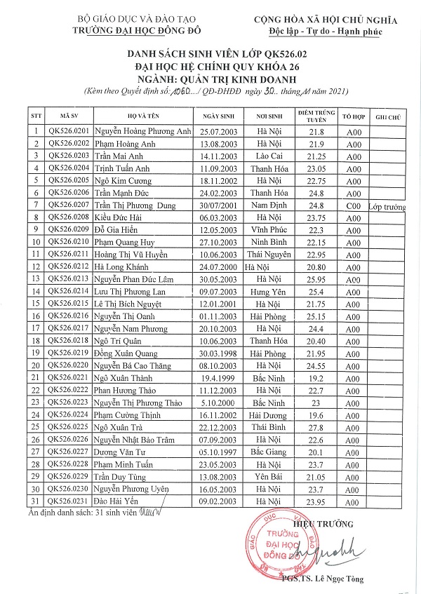
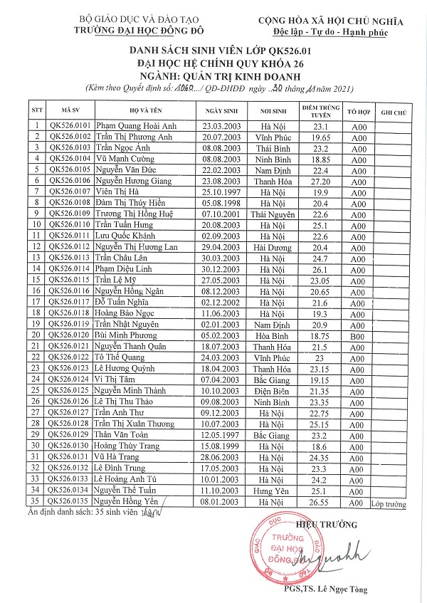
Quyết định về việc thành lập các lớp đại học hệ chính quy tuyển sinh năm 2021

 

Bình luận (0)

Để lại một bình luận

Tìm kiếm
Danh mục
Bài viết liên quan
quyet-dinh-ve-viec-cong-nhan-tot-nghiep-va-cap-bang-tot-nghiep-dai-hoc-dot-3-nam-2021
Quyết định về việc công nhận tốt nghiệp và cấp bằng tốt nghiệp đại học đợt 3 năm 2021
December 09, 2021
quy-dinh-chuc-nang-nhiem-vu-cua-giao-vu-khoa
Quy định chức năng, nhiệm vụ của giáo vụ khoa
September 11, 2017
quy-dinh-to-chuc-thi-ket-thuc-hoc-phan-truong-dai-hoc-dong-do-825
Quy định tổ chức thi kết thúc học phần trường Đại học Đông Đô
September 11, 2017
huong-dan-thuc-hien-quy-che-dao-tao-dai-hoc-cao-dang-he-chinh-quy-theo-he-thong-tin-chi
Hướng dẫn thực hiện Quy chế đào tạo Đại học, Cao đẳng hệ chính quy theo hệ thống tín chỉ
September 11, 2017
noi-dung-on-thi-tot-nghiep-cac-mon-ly-luan-chinh-tri-nam-2017
Nội dung ôn thi tốt nghiệp các môn lý luận chính trị - năm 2017
April 20, 2017
thong-bao-tuyen-sinh-dai-hoc-he-chinh-quy-nam-2016-626
Thông báo tuyển sinh Đại học hệ chính quy năm 2016
August 09, 2016
danh-sach-sinh-vien-thi-mon-ly-luan-chinh-tri
Danh sách sinh viên thi môn lý luận chính trị
May 16, 2016
noi-dung-on-thi-mon-dieu-kien-tot-nghiep-nam-2016-danh-cho-sinh-vien
Nội dung ôn thi môn điều kiện tốt nghiệp năm 2016 dành cho sinh viên
April 25, 2016
quyet-dinh-ban-hanh-huong-dan-thuc-hien-quy-che-dao-tao-dai-hoc-cao-dang-he-chinh-quy-theo-he-thong-tin-chi-cua-truong-dai-hoc-d
Quyết định ban hành Hướng dẫn thực hiện quy chế đào tạo Đại học, Cao đẳng hệ chính quy theo hệ thống tín chỉ của trường Đại học
January 25, 2016
quy-dinh-to-chuc-thi-ket-thuc-hoc-phan-truong-dai-hoc-dong-do
Quy định tổ chức thi kết thúc học phần trường Đại học Đông Đô
January 25, 2016
Image
Image

Thông tin liên hệ

Trường Đại học Đông Đô được thành lập năm 1994, là một trong những trường Đại học tư thục đầu tiên tại Việt Nam. Đến nay Nhà trường đã từng bước khẳng định là một trường Đại học uy tín, đào tạo đa ngành, đa lĩnh vực đóng góp nguồn nhân lực phát triển kinh tế - xã hội của đất nước với triết lý đào tạo "Nhân văn - Sáng tạo - Thực nghiệp".

  • Liên hệ công tác: 024 3771 9960 hoặc 0903282282/ Tư vấn tuyển sinh: 0983 282 282
  • Trụ sở chính: Số 8, đường Phú Nghĩa, xã Phú Nghĩa, TP. Hà Nội.
  • Cơ sở 1: 60B Nguyễn Huy Tưởng, P. Thanh Xuân, TP. Hà Nội.
  • Cơ sở thực hành: Tòa B1, Roman Plaza, đường Tố Hữu, P. Hà Đông, TP. Hà Nội.
  • tuyensinh@hdiu.edu.vn

Các đơn vị thuộc/trực thuộc

Đơn vị chức năng
  • Phòng Đào tạo
  • Phòng Pháp chế
  • Phòng Kế hoạch - Tài chính
  • Phòng Tổ chức - Hành chính
  • Phòng Khảo thí & Quản lý chất lượng
  • Trung tâm Truyền thông và Tuyển sinh
  • Phòng Công tác sinh viên và Hỗ trợ khởi nghiệp
  • Phòng Khoa học công nghệ và hợp tác phát triển
Đơn vị chuyên môn
  • Khoa Luật
  • Khoa Thú Y
  • Khoa Cơ bản
  • Khoa Ngoại Ngữ
  • Khoa Điều Dưỡng
  • Khoa Kinh tế và Quản lý
  • Khoa Dược - Xét nghiệm
  • Khoa Kỹ thuật - Công nghệ
  • Khoa Công Nghệ Thông Tin
Đơn vị trực thuộc
  • Trung tâm Giáo dục nghề Thủ đô
  • Viện giáo dục DUNI Thành phố Hồ Chí Minh
  • Viện Khoa học xã hội và Đổi mới sáng tạo

Bản đồ chỉ dẫn

© Copyright 2026 Trường Đại học Đông Đô All Rights Reserved.